本文へスキップ

難病 パーキンソン病患者とともに生きる。

ひらめき (神経細胞) レポートpolicy&FAQ

  PC版

      クリニック外観

神経細胞に付いて

大脳皮質の神経細胞の数はおよそ100億から180億くらいあり、一般には平均値をとって大脳皮質の神経細胞の数140億個であるとされています。
パーキンソン病(PD)を知る上では神経細胞の働きを知ることが重要となってきます。細胞のエネルギー元、細胞保護、ネットワークの増強、細胞の変性、脱落等を紹介します。

Page Contents

神経細胞
⑤PDと核酸(細胞保護) ④ニューリチン
・VGF
蛋白質
③生体内のエネルギーを作る
(ATP) 
②ミトコンドリア
増殖
に付いて
①髄鞘化(ミエリン化)

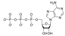
⑤PDと核酸(細胞保護)

核酸とは?
DNA(デオキシリボ核酸)とRNA(リボ核酸)のことを核酸と呼びます。毎日からだの中で新しい細胞が生まれ変わっている事は知られています。新しい細胞に生まれ変わるときに 必須の栄養素物質が核酸です。

核酸は肝臓と腎臓で作られ、核酸を作る成分は「塩基」(炭素、窒素、酸素からなる環状構造物質)で、プリン塩基(アデニン・グアニン)、ピリミジン塩基(シトシン・チミン・ウラシル)と2種類あります。

 種類 働き   使われる
塩基


DNA
(デオキシ
リボ核酸)




細胞の
設計図
アデニン、
グアニン、
シトシン、
チミン
RNA
(リボ核酸)





DNAを
元に蛋白質
を作る
アデニン、
グアニン、
シトシン、
ウラシル
*遺伝子が損傷するのは活性酸素によると知られています。

塩基の働き
 ・アデニン(A):エネルギー産生。
 ・グアニン(G):シグナル伝達やタンパク質の連結・機能
        の調節、他ヌクレオチドの合成。
 ・シトシン(C):脂質合成。
 ・ウラシル(U):糖合成に関わっているのが主な働き。
 ・チミン(T):良く分かっていません。

核酸、塩基生成の材料
・プリン塩基:グリシン、アスパラギン酸、葉酸、
       グルタミン。
・ピリミジン塩基:グルタミン、アスパラギン、
       重炭酸イオン。

核酸は、肝臓で合成され血液中の赤血球により体内に運ばれます。(全身に運ばれた核酸により指示され細胞が生まれ変わります)

核酸が多く含まれた食べ物
魚介類、豆類、発酵食品、ニシンの白子。


神経変性疾患・パーキンソン病の一因
神経変性疾患は酸化した核酸の蓄積が原因とされ、活性酸素ストレスが神経細胞脱落の現因の一因と2012年12月04日
九州大学、生体防御医学研究・ヌクレオチドプール研究センターの中別府雄作 主幹教授、同 盛子敬 助教らにより米国科学雑誌「Journal of Clinical Investigation」に掲載された。

内容は、活性酸素ストレスに曝された神経細胞は、細胞内が酸化されDNA複製に際して核やミトコンドリアDNAに取り込まれて細胞死の原因となることを明らかにた。

神経変性疾患で神経細胞のミトコンドリアDNAにグアニン塩基の酸化体である8-オキソグアニン(8-oxoG)が多量に蓄積することが報告されて、8-oxoGはアルツハイマー病やパーキンソン病患者の剖検脳の解析でも神経細胞のミトコンドリアに顕著に蓄積することが知られている。研究グループでは、このような神経変性疾患や活性酸素ストレスが関わるその他の臓器の変性疾患の発症にも今回明らかとなった分子メカニズムが関与する可能性が強く示唆された。

細胞分裂しない神経細胞では核DNAは複製されないが、ミトコンドリアは神経細胞の機能維持に不可欠なエネルギーを供給するためにそのDNAを常に複製し、新たなミトコンドリアをシナプスなどに供給している。

神経細胞酸化を防ぐには
活性酸素が酸化するのは「タンパク質」「脂質」「核酸」が主であり、この核酸の酸化が神経変性の原因で起こるので「酸化の制御」が大切になってきます。
グアニン(ヌクレオチドの合成)の酸化を抑制できれば正常な核酸が供給されるので、長期的に見て細胞の修復に向かう可能性があります。
活性酸素を除去する物質にはベータカロチン、ビタミンE、
尿酸、リノール酸、システイン、フラボノイド、グルタチオンなど抗酸化物質を摂取が有効です。

 ひらめき・神経細胞

④ニューリチン・VGF蛋白質

脳神経ネットワークを成長させる。

大阪大学大学院生命機能研究科細胞分子神経生物学研究グループ・佐藤晴香特任研究員、山本亘彦教授は、脳発達の基礎をなす神経細胞の生存と突起成長の研究過程において、感覚の中継部位である視床から大脳への神経投射が形成される際に、ニューリチンとVGFと呼ばれる2つのタンパク質が視床神経細胞の軸索終末から分泌され、大脳皮質の神経細胞の生存と樹状突起の成長を促すことを発見。
ニューリチンとVGFの量は脳活動によって変化することから、大脳ネットワークの発達には、遺伝だけでなく、これらの分泌タンパク質による後天的作用が重要な役割を果すことを明らかにしました。

この研究は、2012年10月31日発刊のジャーナル・オブ・ニューロサイエンス誌(The Journal of Neuroscience誌、米国神経科学会誌)に掲載。

ひらめき・神経細胞

感覚の中継部位(視床)は、大脳皮質と結合。
視床神経細胞の終末で放出されるニューリチン(NRN1)とVGFタンパク質が大脳皮質の細胞の生存や樹状突起の成長を促す。

③生体内のエネルギーを作る (ATP) 

はじめに
エネルギーを作る仕組みは、解糖系とミトコンドリア系に分けられ、アデノシン三リン酸 (ATP)と呼ぶ。
食事から得られた糖(ブドウ糖)や脂肪からグルコース(六単糖)まで分解され腸壁から血液で全身の細胞へ運ばれる。余分なグルコースは中性脂肪に変換され貯蔵される。

解糖系ATPに付いて
グルコース → ピルビン酸 → 乳酸。細胞分裂に使われる(瞬発力のある白筋)無酸素状態で作られる。グルコース1分子当たり2分子のATPが生成される。

クエン酸回路(ミトコンドリア系)ATPに付いて
(TCA回路とも言われている)  
解糖系で作られた乳酸をミトコンドリア内に取り込みアセチルCoAを生じる。クエン酸回路により電子伝達系 で酸化的リン酸化を行うためのNADH(ニコチンアミドアデニンジヌクレオチド )を生産する。クエン酸回路で生成されたNADHは、NADに変換され、この過程で、チトクロム酸化酵素複合体の3呼吸酵素複合体からなる電子伝達系へ電子を供給し、電子伝達系はプロト ン(水素イオン)を基質側から、内膜と外膜の膜間部分に放出する。これによってミトコンドリア 内膜の内側と外側にプロ トンの濃度勾配および電位差が生じ、内膜にはプロトンの流れによって回転するモータ ー(組み込まれている)でATPが作られる
グルコース1分子当たり、36分子(計38分子)のATPが生成され細胞分裂の抑制に使われる。
( 持続力のある赤筋、骨格筋、心筋、脳細胞 )

糖の供給が無い場合
食事を摂った後約3時間は、吸収されたばかりのグルコースが主に使わ れるが、筋肉の急激な活動によってATPが不足気味になってきた場合には、筋組織中に蓄えられていたクレアチンリン酸が脱リン酸化することによってATPが産生される。
空腹期においては、まず肝臓や筋肉に貯蔵したグリコーゲンが分解されてグルコースが供給される。
(肝臓、筋肉中に蓄えられたグリコーゲンは各400kcal程度)

中枢神経系の神経細胞ではケトン体(3-ヒドロキシ酪酸)をエネルギー源として用いる。ケトン体はアセチルCoAから生成されグルコースを生成、脳関門通過後に再びアセチルCoAに戻されて脳細胞のミトコンドリア内でATP産生。 

ケント体とは?:脂肪の分解により肝臓で作られ、血液中に放出されるアセトン、アセト酢酸、β-ヒドロキシ 酪酸のことをまとめていう。


ひらめき・神経細胞

  ひらめき・神経細胞

        アデノシン三リン酸(ATP)

②ミトコンドリア増殖に付いて

2014年07月03日Report

はじめに
神経細胞の変性、脱落に対してミトコンドリアの関与に着目し神経変性疾患を紹介。

ミトコンドリアに付いて
真核細胞に存在する細胞内小器官で、細胞あたり数百~数千個存在します。独自のDNAを持ち、分裂、増殖 します。主要な役割は、クエン酸回路と電子伝達系及び両者に共存する酸化的リン酸化によって細胞エネルギ ー源であるアデノシン3リン酸(ATP)を産生。
肺で取り込まれた酸素は、血液によって体内の各細胞に運ばれ、ミトコンドリアで糖や脂肪を燃料として利用されます。また、活性酸の主要な源でもありますが、ミトコンドリアを増やす事により活性酸素を除去する能力、傷ついた遺伝子を修復する能力があります。

エネルギーを大量に必要とする組織に多い。例えると筋肉、心臓、肝臓、脳。
( 神経伝達のため電流を起こすナトリュウムイオン発生に必要、他 )

アルツハイマー認知症・パーキンソン病とミトコンドリア
老人班(アミロイドβ-蛋白質の蓄積)、神経原線維(異常リン酸化されたタウ蛋白質)、ミトコンドリアの機能障害が知られている。
タウ蛋白質(リン酸化)が神経軸索内におけるミトコンドリアの輸送を特異的に阻害されている。
酸化ストレスにより神経細胞死が誘発される。
ミトコンドリア上に存在するユビキチンリカーゼMITOL酵素が、酸化ストレスからミトコンドリアを保護。
品質不良、異常なミトコンドリアが分解されないために、脳内のミトコンドリアの品質が低下して、パーキンソン病、アルツハイマー病が発症すると考えられる。

ミトコンドリアの分裂・増殖
品質の良いミトコンドリアを増やすのには、持久力を司る筋肉に多く含まれると分かっていますから、筋肉痛にならない運動を行うことです。
  ①背筋を1分間伸ばす。(ミトコンドリアは筋肉の中でも
   姿勢を保つ為の筋肉に多く含まれています)
  ②片足立ちを1分間する。
  ③有酸素運動を行う。
  (30秒小走り、1分間歩くの繰り返し)
  ③サウナの後水風呂に入る。
  ④空腹感を感じるようにする。
   (週に1~2日減食をする)

品質を悪化させたミトコンドリアをどうするか
不要蛋白質の分解機能、ユビキチン・プロテアソーム機能とPINK1キナーゼがユビキチンをリン酸化し、このリン酸化ユビキチンがParkinを活性化することが大切で今後の研究発表に期待し参考にしたい。


参考文献
 ・「アルツハイマー病でみられるタウ蛋白質の異常リン
  酸化はミトコンドリアの軸索輸送と微小間の距離を
  制御する」久永眞市ほか首都大学東京。東京大学・
  東京都医学総合研究所共同発表。
 ・Proceedings of the National Academy of Sciences of the USA
  誌 2012年2月13日 東京薬科大学研究チーム発表。
 ・遺伝性パーキンソン病の鍵を握る「ミッシングリンク」
  Nature 4月30日に掲載。東京都医学総合研究所、
  徳島大学、名古屋大学、静岡大学、 産業技術総合
  研究所、京都産業大学、JST-CREST、

ひらめき・神経細胞

①髄鞘化(ミエリン化)

髄鞘化(ミエリン化)とは?
神経伝達は、神経細胞から次の神経細胞へ電位で行われ、神経終末部分でシナプス小胞によりシナプス間隙に神経伝達物質が放出され樹状突起(神経伝達を受ける神経細胞)の受容体をへて神経伝達が行われる事が知られています。(神経細胞のネットワーク)中枢神経のオリゴデンドロサイト(グリア細胞の一つ)が、末梢神経細胞の軸索にある髄鞘(シュワン細胞)の径を太くする髄鞘形成(脂肪化)が促進される事。促進されると髄鞘化され神経間の伝達スピードが速くなる。

神経細胞のネットワークは、10代後半までに形成され、私たちの能力は10代までに何を経験したかにより、その人ならではの能力を持つことに成ります。
形成された神経細胞のネットワークの能力を発揮するためには髄鞘化(ミエリン化)が必要になってきます。

髄鞘化された場合の現象
週間的に行っている事は素早く行えるが、当初は遅かった。このことは、週間化された事がミエリン化の作用を起こし
神経細胞ネットワークの伝達スピードが速くなった。また、
子供の頃に習い事していて大人になってから再開した場合、短期間で以前の能力に戻る事が出来る。

髄鞘化するには??
繰り返し物事を継続する事。(五感を活用し繰り返し継続)
例を挙げると、楽器を弾く場合、聞く(聴覚)、見る(視覚)、指などを動かす(運動)の作業を同時に行っています。この事を繰り返し継続する事で、脳内の関係する部位の神経細胞ネットワークが髄鞘化される(繰り返し継続をする物事により髄鞘化される神経細胞ネットワークは異なります)。
最近の研究実証で、アルツハイマー型認知症の患者に歩きながら声を出して奇数の引き算を行わせるリハビリテーションで認知症の進行(脳の萎縮)が止まり、新しい神経伝達回路が形成、髄鞘化されたのではないかとの報告があります。

ひらめき・神経細胞
         神経細胞の構造図(模式図)

Akira Magazine

〒612-8065
Fhimi-ku Kyoto ctiy